Applying Unix Interface-Design Patterns
To facilitate scripting and pipelining (see Chapter7) it is wise to choose the
simplest interface pattern possible — that is, the pattern with the
fewest channels to the environment and the least
interactivity.
In many of the single-component patterns described above, it is
emphasized that the pattern does not require user interaction after
startup time. When the ‘user’ is often expected to be another
program (and thus to lack the range and flexibility of a human
brain) this is a very valuable feature, maximizing
scriptability.
We've seen that different interface design patterns optimize for
traits valuable in differing circumstances. In particular, there is
a strong and inherent tension between the GUIs and design patterns
appropriate for novice and nontechnical end-users (on the one
hand) and those which serve expert users and maximize scriptability
(on the other).
One way around this dilemma is to make programs with modes that
exhibit more than one pattern. An excellent example is the Web browser
lynx(1). It
normally has a roguelike interface for interactive use, but can be
called with a -dump option that makes it into a
source, formatting a specified Web page to text dumped on standard
output.
Such dual-mode interfaces, however, are not normally attempted
when the program has to have a true GUI. The reasons for this are
partly historical, but mostly have to do with controlling global
complexity. GUIs tend to require complex startup configurations and
large volumes of specialized code; these features coexist uneasily
with the simpler patterns. In the worst case, a dual-mode GUI/non-GUI
program could require two separate command-interpreter loops, with
all that implies in the way of code bloat and potential
inconsistencies.
Thus, when “choose the simplest pattern” conflicts
with a requirement to produce a GUI, the Unix way is to split the
program in two, applying the ‘separated engine and
interface’ design pattern.
In fact, by combining a theme from Chapter7 with this idea, we can perhaps name a
new design pattern emerging under Linux and other modern, open-source
Unixes where GUIs are not merely a reluctant add-on but an active
focus of lots of development effort.
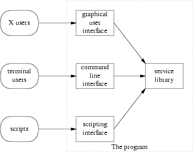
The Polyvalent-Program Pattern
A polyvalent program has the following traits:
-
The program's application-domain logic lives in a library with a
documented API, which can be linked to other programs. The program's
interface logic to the rest of the world is a thin layer over the
library. Or perhaps there are several layers with different UI
styles, any of which the library can be linked to.
-
One UI mode is a cantrip, compiler-like or CLI pattern that executes its
interactive commands in batch mode.
-
One UI mode is a GUI, either linked directly to the
core library or acting as as a separate process driving the CLI
interface.
-
One UI mode is a scripting interface using a modern
general-purpose scripting language like
Perl,
Python, or
Tcl.
-
Optional extra: One UI mode is a roguelike interface
using
curses(3).
Notably, the GIMP
actually fulfills this pattern.