Follow Techotopia on Twitter

On-line Guides
All Guides
eBook Store
iOS / Android
Linux for Beginners
Office Productivity
Linux Installation
Linux Security
Linux Utilities
Linux Virtualization
Linux Kernel
System/Network Admin
Programming
Scripting Languages
Development Tools
Web Development
GUI Toolkits/Desktop
Databases
Mail Systems
openSolaris
Eclipse Documentation
Techotopia.com
Virtuatopia.com
Answertopia.com

How To Guides
Virtualization
General System Admin
Linux Security
Linux Filesystems
Web Servers
Graphics & Desktop
PC Hardware
Windows
Problem Solutions
Privacy Policy

  




 

 

Overtones

A particular musical sound consists of the fundamental pitch, plus a sequence of overtones of higher frequency, but lower power. The distribution of power among these overtones determines the kind of instrument we hear. We can call the overtones the spectrum of frequencies created by an instrument. A violin's frequency spectrum is distinct from the frequency spectrum of a clarinet. The overtones are usually integer multiples of the base frequency. When any instrument plays an A at 440 Hz, it also plays A's at 880 Hz, 1760 Hz, 3520 Hz, and on to higher and higher frequencies. While we are not often consciously aware of these overtones, they are profound, and determine the pitches that we find harmonious and discordant.

If we expand the frequency spectrum through the first 24 overtones, we find almost all of the musical pitches in our equal tempered scale. Some pitches (the octaves, for example) match precisely, while other pitches don't match very well at all. This is a spread of almost five octaves of overtones, about the limit of human hearing.

Even if we use a low base frequency, b , of 27.5 Hz, it isn't easy to compare the pitches for the top overtone, b ×24, with a lower overtone like b ×8: they're in two different octaves. However, we divide each frequency by a power of 2, which will normalize it into the lowest octave. Once we have the lowest octave version of each overtone pitch, we can compare them against the equal temperament pitch for the same octave.

The following equation computes the highest power of 2, p 2, less than or equal to some frequency, f compared against our base frequency, b , of 27.5 Hz.

Equation 39.2. Highest Power of 2, p 2

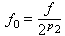
Given this highest power of highest power of 2, p 2, we can normalize a frequency by this simple division. This will create what we'll call the first octave pitch, f 0.

Equation 39.3. First Octave Pitch

The list of first octave pitches arrives in a peculiar order. You'll need to collect the values into a list and sort that list. You can then produce a table showing the 12 pitches of a scale using the equal temperament and the overtones method. They don't match precisely, which leads us to an interesting musical question of which sounds “better” to most listeners.

Overtone Pitches. Develop a loop to multiply the base frequency of 27.5 Hz by values from 3 to 24, compute the highest power of 2 required to normalize this back into the first octave, p 2, and compute the first octave values, f 0. Save these first octave values in a list, sort it, and produce a report comparing these values with the closest matching equal temperament values.

Note that you will be using 22 overtone multipliers to compute twelve scale values. You will need to discard duplicates from your list of overtone frequencies.

Check Your Results. You should find that the 6th overtone is 192.5 Hz, which noralizes to 48.125 in the fist octave. The nearest comparable equal-tempered pitch is 48.99 Hz. This is an audible difference to some people; the threshold for most people to say something sounds wrong is a ratio of 1.029, these two differ by 1.018.


 
 
  Published under the terms of the Open Publication License Design by Interspire